14-10-2024
Tụ bù trung thế - Cấu tạo, ứng dụng và cách đấu nối
Tụ bù trung thế là thiết bị quan trọng trong tủ tụ bù, rất được ưa chuộng bởi các doanh nghiệp vận hành đường dây điện trung thế hoặc có nhu cầu sử dụng điện cao. Trong bài viết dưới đây, BTB Electric cùng bạn đi tìm hiểu về cấu tạo, nguyên lý hoạt động và những lưu ý khi đấu nối tụ bù điện trung thế vào hệ thống.
Tụ bù trung thế là gì?
Tụ bù trung thế thiết bị điện trung thế có khả năng tích và phóng điện trong mạch để ổn định điện áp đường dây và bù công suất phản kháng. Tụ bù trung thế thường có một số loại điện áp từ 3kV đến 35kV và được chia thành loại 1 pha 2 sứ, 3 pha 3 sứ.
Cấu tạo và thông số kỹ thuật của tụ bù trung thế
Các thông số cơ bản của tụ trung thế:
- Fdm: Tần số định mức (Hz)
- Qdm: Công suất phản kháng định mức (kVAR)
- Udm: Điện áp định mức của tụ điện (kV)
- Cdm: Điện dụng tụ điện (μF)
Loại tụ bù điện này có cấu tạo bên trong gồm 2 vật dẫn là 2 bản cực, bản chất là 2 lá nhôm mỏng có lót cách điện, được uốn cong và đặt trong môi trường cách điện. Mặt ngoài tụ là vỏ hàn kín bằng hợp kim nhôm và phủ nhựa. Các đầu bản cực nhô lên phía trên tụ để kết nối với nguồn điện.
Nguyên lý hoạt động của tụ bù trung thế
Tụ bù trung thế được sử dụng để nâng cao hệ số công suất cosφ. Trước tiên cần phân biệt công suất từ nguồn đến tải bao gồm công suất tác dụng và công suất phản kháng. Công suất tác dụng là công suất hữu ích, đơn vị là W/kW. Công suất phản kháng là công suất vô ích, đơn vị là VAr, kVAr. Để giảm công suất phản kháng cần bù hệ số công suất cosφ.
Tụ bù có khả năng chuyển hóa điện năng bù công suất phản kháng, làm mát đường dây, tránh sụt áp và một số lợi ích khác. Nguyên lý hoạt động của tụ bù trung thế như sau: Khi tụ bù có cảm kháng, tức dòng điện đang chậm pha so với điện áp. Tụ bù trung thế được nạp điện và tạo ra dòng điện dẫn pha so với điện áp. Dòng điện từ tụ bù cân bằng với dòng điện từ tải cảm kháng để giảm bớt công suất phản kháng, nâng cao cosφ. Tụ bù điện trung thế liên tục nạp và xả điện để duy trì cosφ ở mức cao.
=>> Đọc thêm: 3 cách kiểm tra dung lượng tụ bù đúng kỹ thuật
Ứng dụng thực tế của tụ bù trung thế
Công dụng của tụ bù trung thế gồm:
- Bù trừ công suất phản kháng (nâng cao cosφ) do các thiết bị cảm kháng (như động cơ điện, máy biến áp) tạo ra trong hệ thống điện trung thế. Khi cosφ sẽ làm hệ thống điện hoạt động hiệu quả hơn, giảm hao phí điện năng, giảm sụt áp, tiết kiệm điện và giảm chi phí tiền điện do đóng phạt.
- Giảm tải cho máy biến áp, giúp máy biến áp hoạt động bền bỉ hơn, bảo vệ các thiết bị điện nhạy cảm, giảm tổn thất trên dây dẫn và thiết bị điện.
- Giảm chi phí đầu tư cho hệ thống điện, giảm chi phí bảo trì, bảo dưỡng thiết bị điện.
Nhờ những công dụng trên mà tụ bù trung thế được ứng dụng trong nhiều lĩnh vực từ điện sản xuất đến điện truyền tải. Tại nhà máy, các khu công nghiệp có bố trí nhiều động cơ điện và máy biến áp tạo công suất phản kháng lớn đều sử dụng tụ bù trung thế. Quan trọng hơn, thiết bị này được sử dụng trong hệ thống điện gió, điện mặt trời, lưới điện truyền tải trong khu vực để giảm hao phí truyền tải.
=>> Xem thêm: Lợi ích của tụ bù hạ thế và sơ đồ đấu nối
Lưu ý khi đấu nối và vận hành tụ bù trung thế
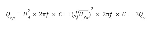
Các tụ điện trung thế thường được chế tạo theo dạng tụ 1 pha, điện áp định mức tương đương điện áp dây dẫn Ud. Khi đấu tụ vào lưới trung thế (bao gồm lưới điện 22kV) phải đấu theo sơ đồ tam giác. Với sơ đồ này, dung lượng bù tạo ra lớn hơn 3 lần so với kiểu đấu sao khi cùng trị số điện dung C:
Tuy nhiên trong thực tế vẫn áp dụng cách đấu sao cho tụ bù trung thế. Nguyên nhân là bởi với cách đấu sao, điện áp tụ bù phải chịu nhỏ hơn căn 3 lần so với khi đấu tam giác. Bên cạnh đó, điện áp chịu được của tụ là cố định. Trung bình nếu cần tăng 10% mức chịu điện áp thì chi phí đầu tư tụ sẽ tăng khoảng 20%, ảnh hưởng đến chi phí ban đầu.
Ví dụ, cần bù công suất 300kVAr cho lưới điện 22kV.
- Cách 1: Sử dụng 3 tụ công suất 100kVAr - 12,7kV mắc theo hình sao. Khi đó điện áp đặt lên cực của tụ là điện áp pha 12,7kV, bằng điện áp định mức bình tụ. Lúc này mỗi tụ sẽ phát ra công suất định mức 100kVAr, tương ứng 3 tụ có tổng công suất 300kVAr.
- Cách 2: Sử dụng 3 tụ công suất 100kVAr - 22kV mắc theo hình tam giác. Khi đó điện áp đặt lên cực của tụ phải bằng đúng điện áp pha là 22kV. Công suất mỗi tụ lúc này là 100kVAr và 3 tụ là 300kVAr.
Nếu sử dụng 3 tụ bù trung thế 100kVAr - 22kV mắc theo hình sao thì điện áp đặt lên cực của tụ chỉ là 12,7kV. Khi đó công suất mỗi tụ phát ra chỉ đạt ⅓ định mức, tương đương 33,33kVAr gây lãng phí.
Ngược lại, sử dụng 3 tụ công suất 100kVAr - 12,7kV mắc theo hình tam giác thì điện áp đặt vào các đầu tụ cao hơn căn 3 lần định mức và tụ sẽ nổ ngay.
Trước khi vận hành tụ bù trung thế, có thể tham khảo các phương pháp bù sau:
- Bù cố định: Sơ đồ đấu tụ bù đơn giản, chi phí đầu tư thấp nhưng không tương thích với đồ thị phụ tải. Trường hợp tải thấp điểm sẽ sản sinh ngược công suất phản kháng gây thêm tổn thất điện năng. Phương pháp này phù hợp cho bù phụ tải nền.
- Bù tính theo cosφ: Tính toán chính xác lượng cosφ cần bù để thiết kế tính dung lượng tụ bù tương ứng đặt tại trạm biến áp. Tuy nhiên nhược điểm là gây lượng nhỏ tổn thất điện năng lên lưới điện hạ thế. Phương pháp này phù hợp với các trạm biến áp chuyên dùng hoặc có bán kính đường dây hạ áp nhỏ.
- Bù dựa trên thời gian: Cài đặt thời gian và dung lượng bù tùy theo thời gian cao điểm - thấp điểm của phụ tải, yêu cầu thời gian cần tương thích khi phụ tải biến động theo mùa, do thời tiết hay do đặc điểm sản xuất.
Những thông tin trên có thể giúp bạn hiểu hơn về cấu tạo, nguyên lý hoạt động của tụ bù trung thế cũng như lưu ý khi lắp loại tụ này vào hệ thống điện. Ngoài ra bạn có thể tìm hiểu thêm các bài viết khác về tụ bù điện trên website BTB Electric.



